| 일 | 월 | 화 | 수 | 목 | 금 | 토 |
|---|---|---|---|---|---|---|
| 1 | ||||||
| 2 | 3 | 4 | 5 | 6 | 7 | 8 |
| 9 | 10 | 11 | 12 | 13 | 14 | 15 |
| 16 | 17 | 18 | 19 | 20 | 21 | 22 |
| 23 | 24 | 25 | 26 | 27 | 28 | 29 |
| 30 |
Tags
- remixmatch paper
- SSL
- CoMatch
- BYOL
- Meta Pseudo Labels
- shrinkmatch
- semi supervised learnin 가정
- CGAN
- ConMatch
- mocov3
- dcgan
- GAN
- CycleGAN
- Entropy Minimization
- 최린컴퓨터구조
- conjugate pseudo label paper
- 딥러닝손실함수
- mme paper
- Pix2Pix
- shrinkmatch paper
- cifar100-c
- UnderstandingDeepLearning
- dann paper
- tent paper
- adamatch paper
- WGAN
- Pseudo Label
- simclrv2
- 백준 알고리즘
- 컴퓨터구조
Archives
- Today
- Total
Hello Data
UnderstandingDeepLearning-Deep neural networks 본문
이전 3장에는 shallow neural network, hidden layer가 1겹밖에 없는 network를 알아봤다면 이번 4장은 depe neural network이다.
1. Composing neural networks
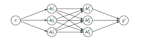
hidden layer 2개를 한번 생각해보자.

이렇게 layer를 설정하는 것은 deep neural network의 특별한 케이스라고 볼 수 있다.
2. Deep neural networks
위에서는 2개의 shallow network를 구성하는 것이 deep network의 speical case라는 것을 확인했다. 좀 더 general한 case는 다음과 같다.

당연하게도 우리는 2개 보다 더 많은 hidden layers를 운영할 수 있다. 따라서 이를 어떻게 설정할지에 대한 것을 hyper parameter라고 한다.
'딥러닝' 카테고리의 다른 글
| 비전공생의 Auxiliary Tasks in Multi-task Learning (0) | 2023.12.14 |
|---|---|
| 비전공생의 GradNorm(2018) 논문리뷰 (0) | 2023.12.14 |
| UnderstandingDeepLearning-Shallow neural networks (0) | 2023.09.20 |
| Understanding DeepLearning-Supervised learning (0) | 2023.09.19 |
| 비전공생의 SAM(2021) 논문 리뷰 (0) | 2023.09.19 |